| S.No | Structure | Chemical Name | CAS No | Therapeutic Use |
|---|---|---|---|---|
| 1 | ![]() | CIS-[2-(2,4-Dichlorophenyl)-2-(1H-1,2,4-Triazol-1-ylmethyl)-1,3-Dioxolan-4-yl]methyl-methanesuifonate | 67914-86-7 | ITRACONAZOLE |
| 2 | ![]() | 2,4-Dihydro-4-[4-[4-(4-hydroxy phenyl)-1- piperazinyl]- phenyl]-2-(1-methylpropyl)-3H-1,2,4-triazol-3-one | 106461-41-0 | ITRACONAZOLE |
| 3 | ![]() | 4-{[4-(4-Methyloxy-phenyl)-piperazin-1-yl]-phenyl}-2,4-dihydro-[1,2,4]-triazol-3-one | 74853-07-9 | ITRACONAZOLE |
| 4 | ![]() | 1-[4-[4-(4-methoxyphenyl) piperazinyl] phenyl]hyrazinecarboximide | 74852-89-4 | ITRACONAZOLE |
| 5 | ![]() | 1-(4-methoxy Phenyl)-4-(4-amine phenyl) piperzine | 74852-62-3 | ITRACONAZOLE |
| 6 | ![]() | Methyl carbazate | 6294-89-9 | ITRACONAZOLE |
| 7 | ![]() | Formamidine acetate | 3473-63-0 | ITRACONAZOLE |
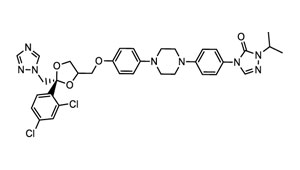
| 8 | ![]() | 4-(4-(4-(4-(((2R)-2-((1H-1,2,4-triazol-1-yl)methyl)-2-(2,4-dichlorophenyl)-1,3-dioxolan-4-yl) methoxy)phenyl)piperazin-1-yl)phenyl)- 1-isopropyl-1H-1,2,4-triazol-5(4H)-one | 89848-49-7 | Itraconazole EP Impurity D |
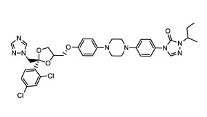
| 9 | ![]() | 4-(4-(4-(((2S)-2-((1H-1,2,4-triazol-1-yl)methyl)-2-(2,4-dichlorophenyl)-1,3-dioxolan-4-yl)methoxy)phenyl)piperazin-1-yl)phenyl)-1-(sec-butyl)-1H-1,2,4-triazol-5(4H)-one | 252964-65-1 | Itraconazole EP Impurity E |
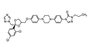
| 10 | ![]() | 4-(4-(4-(((2R)-2-((1H-1,2,4-triazol-1-yl)methyl)-2-(2,4-dichlorophenyl)-1,3-dioxolan-4-yl)methoxy)phenyl)piperazin-1-yl)phenyl)-1-propyl-1H-1,2,4-triazol-5(4H)-one | 74855-91-7 | Itraconazole EP Impurity C |
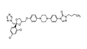
| 11 | ![]() | 4-(4-(4-(((2R)-2-((1H-1,2,4-triazol-1-yl)methyl)-2-(2,4-dichlorophenyl)-1,3-dioxolan-4-yl)methoxy)phenyl)piperazin-1-yl)phenyl)-1-butyl-1H-1,2,4-triazol-5(4H)-one | 89848-51-1 | Itraconazole EP Impurity F |
| 12 | ![]() | PHENYL {4-[4-(4-HYDROXYPHENYL)PIPERAZIN-1-YL]PHENYL}CARBAMATE | 184177-81-9 | POSACONAZOLE |
| 13 | ![]() | 4-(1-Piperazinyl) phenol | 56621-48-8 | POSACONAZOLE |
| 14 | ![]() | 4-[4-(4-Nitro-phenyl)-piperazin-1-yl]-phenol | 112559-81-6 | POSACONAZOLE |
| 15 | ![]() | 1-(4-Aminophenyl)-4-(4-hydroxyphenyl)piperazine | 74853-08-0 | POSACONAZOLE |
| 16 | ![]() | 2-methoxy-5-(2-oxopropyl)benzenesulfonamide | 116091-63-5 | Tamsulosin Hcl |
| 17 | ![]() | (R)-(-)-5-(2-Aminopropyl)-2-methoxybenzenesulfonamide | 112101-81-2 | Tamsulosin Hcl |
| 18 | ![]() | 2-(2-Ethoxyphenoxy)ethyl bromide | 3259-03-8 | Tamsulosin Hcl |
| 19 | ![]() | Ethyl-3-(Pyridine-2-yl amino)-propanoate | 103041-38-9 | DABIGATRAN |
| 20 | ![]() | Ethyl 3-[(4-Methylamino-3-nitro-benzoyl)-pyridin-2-yl-amino]-propionate | 429659-01-8 | DABIGATRAN |
| 21 | ![]() | Ethyl 3-[(3-Amino-4-methylamino-benzoyl)-pyridin-2-yl-amino]-propionate | 212322-56-0 | DABIGATRAN |
| 22 | ![]() | 6-Ethyl-5-fluoropyrimidin-4-ol | 137234-87-8 | VORICONAZOLE |
| 23 | ![]() | 4-Chloro-6-ethyl-5-fluoropyrimidine | 137234-74-3 | VORICONAZOLE |
| 24 | ![]() | 2-Propyl-1H-imidazole-4,5-dicarboxylic acid | 58954-23-7 | Olmesartan Medoxomil |
| 25 | ![]() | Diethyl 2-propyl-1H-imidazole-4, diethyl 2-propyl-1H-imidazole-4,5-dicarboxylate | 144689-94-1 | Olmesartan Medoxomil |
| 26 | ![]() | 2-(1H-1,2,4 Triazol -1-yl)-2,4-Difluoro Acetophenone | 86404-63-9 | Fluconazole, Voriconazole |
| 27 | ![]() | 2-Anilino ethanol | 122-98-5 | RIVAROXABAN |
| 28 | ![]() | 4-Amino-2-chloro-6,7-dimethoxy quinazoline | 23680-84-4 | DOXAZOSIN, ALFUZOSIN,TERAZOSIN |
| 29 | ![]() | (2,3-Dihydrobenzo[b][1,4]dioxin-2-yl)(piperazin-1-yl)methanone hydrochloride | 70918-74-0 | DOXAZOSIN |
| 30 | ![]() | Methyl hydrazinoformate | 6294-89-9 | |
| 31 | ![]() | Bis(2,4,6-trichlorophenyl) malonate | 15781-70-1 | |
| 32 | ![]() | 5-Hydroxy-4-methoxy-2-nitrobenzoic acid ethyl ester | 1146162-38-0 | GEFITINIB |
| 33 | ![]() | 2-Aminoacetophenone | 551-93-9 | LINAGLIPTIN |
212 714 0177
Free call

































